har nu en 1962 med orginal vlåda och axlara är det värt att byta till nyare splitbuss vlåda och axlar 
Varför byta till nyare splitbusslåda? Har dom bättre utväxling? Eller är dom starkare?
Bättre då att byta till IRS eller straight axel från typ1, så slipper du reduktionsväxlarna...
Ghia 57
"If you can't fix it with a hammer, You've got an electrical problem"
Precis som Lasse/lasslo skriver: det finns egentligen ingen uppsida att byta till nyare/senare årsmodell av "splitt.vxl."
De sista vxl. (66-67) hade förvisso genomgått vissa förbättringar, men bara marginellt. Skall du renovera vxl./red.växlarna kan du lika bra utgå från det befintliga materialet, såvida det inte är fullständigt nergånget. DÅ kan det ju vara bra att ha ett (nyare) objekt att plocka delar från.
Men, vad vill du ha: original, matching numbers, annan utväxling, annan eller likvärdig ride hight, ....?
Vill du behålla originalstuket, med samma utväxlingar och reduktionsväxlar, kan du lika bra behålla den befintliga "splitt.vxl."
Har du ambitionen att förändra utväxling, men behålla red.växlarna, finns det bättre vxl. att utgå från, eller "blanda" med den befintliga, men behåll red.växlarna till bussen: Red. växlarna till Buss reducerar 26,3%, medan Pic Up reducerar 38,9%(!).
Till "Surfbussen" https://boxerville.se/forum/viewtopic.php?id=781 ville Lasse ha ett mellanting av höjd/ride hight, så där byggdes det om till IRS. Sen snickrades det ihop en vxl. med mer ändamålsenlig utväxling för användningen och motorn, "med lite mer knuff i".
Behöver du renovering eller ombyggnad av en vxl. är du välkommen att höra av dig.
Mats 0705 - 69 33 43
Varför byta till nyare splitbusslåda? Har dom bättre utväxling? Eller är dom starkare?
Bättre då att byta till IRS eller straight axel från typ1, så slipper du reduktionsväxlarna...
det var mest för utväxlingen men verkar ju vara samma så bara köra vidare.tänker gå upp i profil för att få ner varven lite lite 
Varför byta till nyare splitbusslåda? Har dom bättre utväxling? Eller är dom starkare?
Bättre då att byta till IRS eller straight axel från typ1, så slipper du reduktionsväxlarna...
det var mest för utväxlingen men verkar ju vara samma så bara köra vidare.tänker gå upp i profil för att få ner varven lite lite 
Precis som Lasse/lasslo skriver: det finns egentligen ingen uppsida att byta till nyare/senare årsmodell av "splitt.vxl."
De sista vxl. (66-67) hade förvisso genomgått vissa förbättringar, men bara marginellt. Skall du renovera vxl./red.växlarna kan du lika bra utgå från det befintliga materialet, såvida det inte är fullständigt nergånget. DÅ kan det ju vara bra att ha ett (nyare) objekt att plocka delar från.
Men, vad vill du ha: original, matching numbers, annan utväxling, annan eller likvärdig ride hight, ....?
Vill du behålla originalstuket, med samma utväxlingar och reduktionsväxlar, kan du lika bra behålla den befintliga "splitt.vxl."
Har du ambitionen att förändra utväxling, men behålla red.växlarna, finns det bättre vxl. att utgå från, eller "blanda" med den befintliga, men behåll red.växlarna till bussen: Red. växlarna till Buss reducerar 26,3%, medan Pic Up reducerar 38,9%(!).
Till "Surfbussen" https://boxerville.se/forum/viewtopic.php?id=781 ville Lasse ha ett mellanting av höjd/ride hight, så där byggdes det om till IRS. Sen snickrades det ihop en vxl. med mer ändamålsenlig utväxling för användningen och motorn, "med lite mer knuff i".Behöver du renovering eller ombyggnad av en vxl. är du välkommen att höra av dig.
Mats 0705 - 69 33 43
ojoj tack för all info.har hört att nyare 66/67 har annan utväxlingen men bara hört.
min funkar utmärkt efter 59år bytt olja tätt efter ja renovera bussen den den stått sen 80talet.blev en provtur mej nybytt olja på 5 mil tömde och bytte igen för att få ur allt gammalt skit
den ska åkas orginalhög i några år sen får vi se 
ditt nr kommer ja att spara så klart
mvh peter
Original 80-profil gör ju en hel del jämfört med tex 65-profil. Som du är inne på så har de nyare axlarna lägre utväxling (ger lägre varv). Lite i alla fall. Så skulle jag köra original och hade låda tillgänglig så skulle jag ta det som det ger. Tillsammans med originalprofil på däcken. Det blir inte sämre.
8 2021-03-27 22:13:42 Senaste redigerad av MH (2021-03-27 22:18:03)

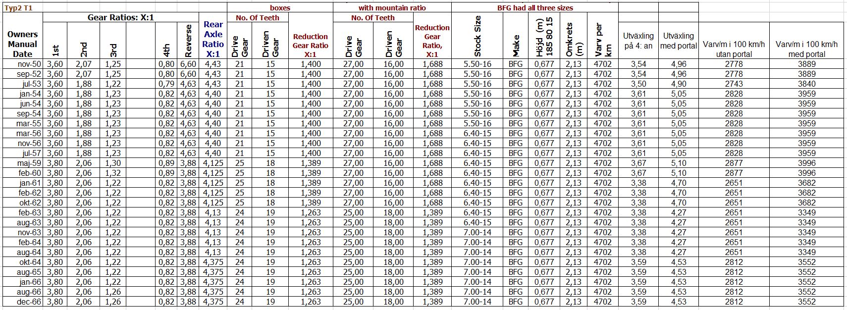
Ok, låt oss prata utväxlingar.........
Jag vet inte var denna hemsnickrade tabell (hälften US, hälften Svensk), var kommer från: källa?
MYCKET byggs upp på nätet utan att finns den minsta källkritik eller information; tro inte på ALLT!
Jag vet heller inte hur du "Zündfolge" kan få det till att det skulle bli: "....så har de nyare axlarna lägre utväxling (ger lägre varv)."
Läser "Zündfolge"/du i tabellen som har bif. , så ÖKAR varvtalet på de senaste modellerna!!!(?).
Jag gav en vägledande information om reduktionsväxlar (se ovan).
Det vanligaste jag har sett är red.vxl. (18:25), som har suttit med R/P 4,375 (8:35). Detta då med en 1200-motor. Kombon har i huvudsak funnits för Transporter, dvs. Pic Up:er. Bussar (Sverige) har oftast (läs: alltid) haft Red.vxl. 19:24, R/P 4,375.
JAG har aldrig stött på en Buss-/Pic up_vxl. (61 -67) med annan utväxl. än: R/P 4,375, #4 0,82. (Jo, en gång: då hade "någon" tagit en Typ 1 vxl. och huggit i ett "H" framför serienumret (H står för Buss/Transport))
I tabellen fr. ""Zündfolge" blandas reduktionsväxlar och slutväxlar (R/P), men nämns inget om kombinationen med motorstorlek (12 -1500), vilket var en bidragande orsak för av valet av R/P.
Men hur mycket finns kvar (bytt motor, från den "trötte" 34 Hp/1200-motorn)? Vad kör du med idag och vad vill/upplever du vxl. egenskaper och varvtal?
Sist: "Zündfolge", DU har rätt, däckstorlek spelar en väldigt stor roll, MEN glöm ALLA beräkningsprogram på nätet!
Använd ist. STRO:s bok, för, i detta fallet, beräkning av rullningsomkrets/rullningsdiameter.
tackar för all info blir att köpa hem högre profil typ 80
Helt rätt, källa bör redovisas; https://www.thesamba.com/vw/forum/viewt … p?t=463030 Datan kommer därifrån sen har jag labbat och räknat vidare.
Informationen anges vara tagen från instruktionsbok. Det bör vara en tillförlitlig källa. Sen kan det ju finnas skillnader för olika marknader. Jag vet inte om det var aktuellt för utväxlingar. Det är ju knappast styrt av länders olika lagar.
Det kommenteras även optionen med 1200/1500- motorerna. Jag har dock svårt att tänka mig att det såldes många 1200-typ 2 i Sverige efter 1500: an kom. 1200 utgick i USA i alla fall.
Olika utväxlingar på buss och pick-up? Instruktionsboken skiljer på data för buss och pick-up i vissa fall men inte för utväxlingar.
Det är väl omöjligt att veta säkert vad som stämmer eller inte om man inte gör en undersökning med svenska instruktionsböcker genom åren. Men om tabellen stämmer bör man få få lägre utväxling med nyare transaxel om man utgår från en -62: a.
Tillbaka till frågan, är det värt att byta utväxling? Som MH är inne på vad har du och vad vill du uppnå? Det är svårt att veta vad resultatet blir och hur det upplevs. Jag kör buss med 95hk WBX och IRS AM-låda. Jag tycker alla suktar efter AT-låda men AM: en är jag nöjd med. Drar fint på alla växlar, kör om lastbilar i backar utan problem och så dynamiskt runt 80 km/h där jag trivs. Visst, en AT skulle sänka varvet något på fyran. Kanske märkbart i 110-120 men det behöver jag inte. Det skulle kanske funka bra med AT men det är mycket jobb att byta så varför? Vad vill man uppnå?
I bubblan blev det en AT med 1600 EP. Det ska bli intressant då jag ska dra campingvagn ibland också. Ångrar lite ibland att det inte blev en AM. Även om man vet vad man vill ha så är det svårt att veta hur man ska göra.
Så lättast är dock att byta gummi som du är inne på. Om du nu har lägre profil. Problemet är att utbudet inte är så stort. Michelin gör fina fullprofilare men det kostar drygt 5000:- styck. Det var inte försvarbart för mig utan jag satsade på ett billigare med kopierat mönster; Retro Classic 185/80 R15 93H. De funkar bra med några säsonger körda. Tyvärr inte tillgängliga någonstans nu. Hoppas det kommer in nu på våren. Jag behöver byta två till.
Helt rätt, källa bör redovisas; https://www.thesamba.com/vw/forum/viewt … p?t=463030 Datan kommer därifrån sen har jag labbat och räknat vidare.
Informationen anges vara tagen från instruktionsbok. Det bör vara en tillförlitlig källa. Sen kan det ju finnas skillnader för olika marknader. Jag vet inte om det var aktuellt för utväxlingar. Det är ju knappast styrt av länders olika lagar.
Det kommenteras även optionen med 1200/1500- motorerna. Jag har dock svårt att tänka mig att det såldes många 1200-typ 2 i Sverige efter 1500: an kom. 1200 utgick i USA i alla fall.
Olika utväxlingar på buss och pick-up? Instruktionsboken skiljer på data för buss och pick-up i vissa fall men inte för utväxlingar.
Det är väl omöjligt att veta säkert vad som stämmer eller inte om man inte gör en undersökning med svenska instruktionsböcker genom åren. Men om tabellen stämmer bör man få få lägre utväxling med nyare transaxel om man utgår från en -62: a.
Tillbaka till frågan, är det värt att byta utväxling? Som MH är inne på vad har du och vad vill du uppnå? Det är svårt att veta vad resultatet blir och hur det upplevs. Jag kör buss med 95hk WBX och IRS AM-låda. Jag tycker alla suktar efter AT-låda men AM: en är jag nöjd med. Drar fint på alla växlar, kör om lastbilar i backar utan problem och så dynamiskt runt 80 km/h där jag trivs. Visst, en AT skulle sänka varvet något på fyran. Kanske märkbart i 110-120 men det behöver jag inte. Det skulle kanske funka bra med AT men det är mycket jobb att byta så varför? Vad vill man uppnå?
I bubblan blev det en AT med 1600 EP. Det ska bli intressant då jag ska dra campingvagn ibland också. Ångrar lite ibland att det inte blev en AM. Även om man vet vad man vill ha så är det svårt att veta hur man ska göra.
Så lättast är dock att byta gummi som du är inne på. Om du nu har lägre profil. Problemet är att utbudet inte är så stort. Michelin gör fina fullprofilare men det kostar drygt 5000:- styck. Det var inte försvarbart för mig utan jag satsade på ett billigare med kopierat mönster; Retro Classic 185/80 R15 93H. De funkar bra med några säsonger körda. Tyvärr inte tillgängliga någonstans nu. Hoppas det kommer in nu på våren. Jag behöver byta två till.
tackar för all info.är ute efter att få ner varvtalet men som du säger 80h/km är ju lagom med orginal axlar och 1500cc.ja kommer gå upp i profil åh får nöja mej där 
