Status 2016-01-19
27st bilar
40st övernattande (bara sett till lör-sön)
47st på middagen (lör)
Nu på fredag (22/1) är tänkt att vara sista dagen för anmälning. Ni som inte anmält er än, GÖR DET! Kommer att bli vinterns snackis! 
Du är inte inloggad. Logga in eller registrera dig.
Boxerville » Träffar » Cold Balls, lördag 30 januari 2016
Sidor Föregående 1 2
Du måste logga in eller registrera för att svara
Status 2016-01-19
27st bilar
40st övernattande (bara sett till lör-sön)
47st på middagen (lör)
Nu på fredag (22/1) är tänkt att vara sista dagen för anmälning. Ni som inte anmält er än, GÖR DET! Kommer att bli vinterns snackis! 
Lite information, hållpunkter och ordningsregler för Cold Balls 2016
FREDAG
Drop in på Depå Grande från kl16:00
https://www.google.se/maps/place/Dep%C3 … 9e71?hl=sv
Middag från ca. kl18:30 och sedan samkväm
LÖRDAG
Frukost kl07:30
Körningen drar igång kl09:00
Lunch/fika kan köpas under dagen
Lotteri med fantastiskt fina priser (20kr/lott). Ta med kontanter (vi tar även Swish, även om kontanter föredras)
Körningen avslutas ca kl18:00
Middag ca kl.19:30. Restaurangen öppen till kl 01:00.
Nattsuddandet får ske på övervåningen.
SÖNDAG
Frukost ca. kl10:00
BOENDE
Motsvarar vandrarhem/logement
Ta med lakan, örngott, påslakan (eller sovsäck) samt handduk
Wi-Fi finns
Det är långt till närmsta affär. Se till att ta med dig det du vill ha med på plats.
KÖRNING
Sker på egen risk och med egen försäkring. Innan körningen påbörjas måste alla skriva på att de accepterar de regler som gäller.
* Isbana #1 - Bred och snabb, 3km lång
* Isbana #2 - Lite knixigare och mindre snabb (dock snabbare än i fjol), 2,7km lång
* Isbana #3 - Rakt fram 100m, 150m bromssträcka
* Skogssträcka - 6km lång (transportsträcka 10km dit)
VIKTIGT
Medtagen alkohol får inte förtäras på nedervåningen i huset på Depå Grande. Detta pga alkoholtillståndet. Gäller även under middagarna fredag/lördag.
Öl kan köpas i restaurangen. Endast kontanter. Förtäring av egen alkohol på övervåningen är dock ok. Brukar bli ett rackarns springande...
Mer detaljer lämnas på plats!
VI SES!!!
Idag är sista dag för anmälan!
Grymt schysst arrangemang ni drar ihop

Ryktet gör gällande att vi ev. får besök av storfräsare från grannlandet i öst! 
Ryktet gör gällande att vi ev. får besök av storfräsare från grannlandet i öst! 
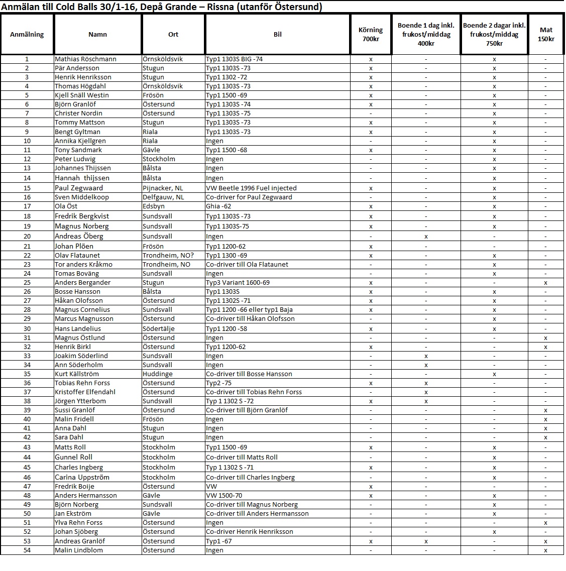
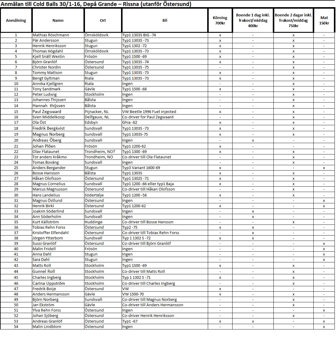
Så här ser då den slutliga listan ut med deltagare på Cold Balls 2016.
28st bilar
42st boende, de flesta bor fre-sön)
52st med på middagen (lördag)
Ni som har anmält er, kolla så att ni finns med på listan och att jag har prickat för rätt alternativ för er. Meddela mig om något är fel.
Betalningen vill jag ha snarast av er som ännu inte betalat. Ser helst att jag inte behöver hantera kontanter för detta detta under helgen.
Nära nu!
En liten påminnelse inför helgen.
Tänk på att det är ganska långt till närmsta affär. Se till att ha tankat bilen och kanske också ta med er en extra dunk med bränsle. Köp även med er om ni vill ha godis/chips/dricka.
Ta också gärna med spade, bogserlina och hjälm (finns också att låna). Även en brandsläckare kan vara bra att ha.
Kontanter kan också vara en bra id'e att ta med för att köpa lotter, lunch och dryck till middagen.
Bilen lastad och mackor gjorda. Avfärd 04.00 fredag. Blir jag först i år också fast jag har längst färdväg? Ser verkligen fram mot detta äventyr och har dagen till ära även linoljat bilen utvändigt. (blank utan lack).
Så till vida du inte behöver 12h för att köra 57mil så är risken stor att du är först på plats!
Vi är på plats från ca 15:00.
Blir kul att ses igen!
Är nu tillbaka hemma efter en fantastiskt rolig helg på Cold Balls!
Dags att börja ladda upp lite bilder och filmer här tycker jag!
Här kommer lite bilder från Coldballs. Dessa är tagna av Håkan Olofsson
Å lite fler från Håkan
Å lite fler från Håkan
Å lite fler från Håkan
Å lite fler från Håkan
Hittade även några i min telefon...
http://www.op.se/jamtland/bracke/folkva … interrally
Kul! Alla körde väl inte ras i helgen som var?
Nu vill vi se några folkvagnar på Speed Weekend också!!
Vem blir först? Tror faktiskt inte att det varit någon luftkyld folka alls på nämnda tillställning.
Nu börjar filmerna trilla in, häng med i The Bugbeer Beetle's dans på isen, 2332cc mullrar och bluddrar riktigt gott
mer
Det lär ju ramla in lite drönarfilm snart oxå 
Sidor Föregående 1 2
Du måste logga in eller registrera för att svara
Boxerville » Träffar » Cold Balls, lördag 30 januari 2016
Currently installed 2 official extensions. Copyright © 2003–2009 PunBB.